# 定义
- 是一棵二叉树;每个结点都有一个可比较的键,以及关联的值。
- 任何结点中的键大于该结点左子树中所有结点中的键,且小于该结点右子树中所有结点的键(有序性)
# 遍历
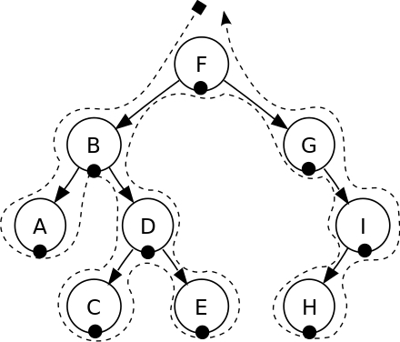
主要讨论的是深度遍历,根据根结点的访问优先级,又可以分为:前(先)、中、后序遍历。
获取结点的前驱后继时,需要用到这部分知识点,而且平衡树的调整操作中也涉及到。
# 前序遍历
前(先)序遍历(Pre-Order Traversal):先根结点,再左右子树。

# 中序遍历
中序遍历(In-Order Traversal):先左子树,再根结点,最后右子树。

# 后序遍历
后序遍历(Post-Order Traversal):先左右子树,再根结点。

# 代码实现:递归
# 前序遍历
public void preOrderTraversalRecursion(Node node, List<K> result) { | |
if (node == null) { | |
return; | |
} | |
// 先根结点 | |
result.add((K) node.key); | |
// 再左右子树 | |
if (node.left != null) { | |
preOrderTraversalRecursion(node.left, result); | |
} | |
if (node.right != null) { | |
preOrderTraversalRecursion(node.right, result); | |
} | |
} |
# 中序遍历
public void inOrderTraversalRecursion(Node node, List<K> result) { | |
if (node == null) { | |
return; | |
} | |
// 先左子树 | |
if (node.left != null) { | |
inOrderTraversalRecursion(node.left, result); | |
} | |
// 再根结点 | |
result.add((K) node.key); | |
// 后右子树 | |
if (node.right != null) { | |
inOrderTraversalRecursion(node.right, result); | |
} | |
} |
# 后序遍历
public void postOrderTraversalRecursion(Node node, List<K> result) { | |
if (node == null) { | |
return; | |
} | |
// 先左子树 | |
if (node.left != null) { | |
postOrderTraversalRecursion(node.left, result); | |
} | |
// 再右子树 | |
if (node.right != null) { | |
postOrderTraversalRecursion(node.right, result); | |
} | |
// 后根结点 | |
result.add((K) node.key); | |
} |
# 代码实现:非递归
# 前序遍历
实现关键:
- 使用栈结构,根结点入栈;循环条件:栈非空。
- 出栈访问结点,右、左子树入栈
public void preOrderTraversalCirculation(Node root, List<K> result) { | |
if (root == null) { | |
return; | |
} | |
Deque<Node> stack = new ArrayDeque<>(); | |
// 1. 根结点入栈 | |
stack.push(root); | |
// 2. 循环条件:栈非空 | |
while (!stack.isEmpty()) { | |
// 3. 出栈访问根结点 | |
Node p = stack.pop(); | |
// 先访问根结点 | |
result.add((K) p.key); | |
// 4. 再把右结点入栈:先进后出 | |
if (p.right != null) { | |
stack.push(p.right); | |
} | |
// 5. 最后把左结点入栈:后进先出 | |
if (p.left != null) { | |
stack.push(p.left); | |
} | |
} | |
} |
# 中序遍历
实现关键:
- 使用栈结构,p 指向根结点
- 循环条件栈或 p 非空;遍历 p 左子树,遍历期间 p 入栈;出栈访问结点,p 指向右子树
public void inOrderTraversalCirculation(Node root, List<K> result) { | |
if (root == null) { | |
return; | |
} | |
Deque<Node> stack = new ArrayDeque<>(); | |
Node p = root; | |
// 1. p 用于循环遍历左子树 | |
// 2. stack 用于回溯,记录 p 指针经过的结点 | |
while (!stack.isEmpty() || p != null) { | |
// 访问最左边的左结点,栈记录经过的结点,用于回溯 | |
while (p != null) { | |
stack.push(p); | |
p = p.left; | |
} | |
// 出栈的结点,左子树都是已访问的 | |
p = stack.pop(); | |
// 访问中间结点 | |
result.add((K) p.key); | |
// 循环访问右结点 | |
p = p.right; | |
} | |
} |
# 后序遍历
# 双栈实现
实现关键:
- 双栈结构,根结点入栈 1
- 循环条件栈 1 非空,栈 1 出栈入栈 2,左、右子树入栈 1
- 栈 2 依次出栈访问结点
public void postOrderTraversalCirculation1(Node root, List<K> result) { | |
if (root == null) { | |
return; | |
} | |
Deque<Node> stack1 = new ArrayDeque<>(); | |
Deque<Node> stack2 = new ArrayDeque<>(); | |
stack1.push(root); | |
while (!stack1.isEmpty()) { | |
Node node = stack1.pop(); | |
stack2.push(node); | |
if (node.left != null) { | |
stack1.push(node.left); | |
} | |
if (node.right != null) { | |
stack1.push(node.right); | |
} | |
} | |
while (!stack2.isEmpty()) { | |
result.add((K) stack2.pop().key); | |
} | |
} |
# 单栈实现
实现关键:
- 栈结构,p 指向 root,p 入栈
- 循环条件栈非空;查看栈顶结点
public void postOrderTraversalCirculation2(Node root, List<K> result) { | |
if (root == null) { | |
return; | |
} | |
Deque<Node> stack = new ArrayDeque<>(); | |
Node p = root; | |
stack.push(p); | |
while (!stack.isEmpty()) { | |
Node node = stack.peek(); | |
// 因为先访问底层,再访问上一层,所以直接判断左右子树是否等于 p | |
boolean finishedSubtrees = (node.right == p || node.left == p); | |
boolean isLeaf = (node.left == null && node.right == null); | |
// 如果左右子树已经访问,或是叶子结点,直接访问 | |
if (finishedSubtrees || isLeaf) { | |
stack.pop(); | |
result.add((K) node.key); | |
p = node; | |
} else { // 否则把右左子树入栈 | |
if (node.right != null) { | |
stack.push(node.right); | |
} | |
if (node.left != null) { | |
stack.push(node.left); | |
} | |
} | |
} | |
} |
# 前驱后继
# 定义
# 前驱
比该结点的键小且最大的结点。
- 该结点有左子树:沿着左结点的右子树;循环到结点没有右子树,则该结点是前驱结点(左结点最右子树)。
![前驱:情形一 前驱:情形一]()
- 该结点没有左子树:沿着祖先结点往上查;循环到祖先结点的右结点等于上一轮循环的结点(查祖辈且出现拐角)。
![前驱:情形二 前驱:情形二]()
# 后继
比该结点的键大且最小的结点。
- 该结点有右子树:沿着右结点的左子树;循环到结点没有左子树,则该结点是前驱结点(右结点最左子树)。
![后继:情形一 后继:情形一]()
- 该结点没有右子树:沿着父结点往上查;循环到祖先结点的左结点等于上一轮循环的结点(查祖辈且出现拐角)。
![后继:情形二 后继:情形二]()
# 代码实现
# 前驱
Node 对象没有定义 parent 指针,无法向上遍历,因此需要借助栈记录祖先结点,然后通过栈回溯祖先结点。
如果 Node 定义 parent 属性,则很容易向上遍历,不需要借助栈回溯。
public Node predecessor(K key) { | |
if (key == null) { | |
throw new IllegalArgumentException("key can not be null."); | |
} | |
// 栈用于辅助回溯祖先结点;查找结点位置时,记录经过的祖先结点 | |
// 如果 Node 对象有 parent 指针时,则不需要额外的栈来向上查询祖先结点 | |
Deque<Node> stack = new ArrayDeque<>(); | |
Node p = root; | |
// 找到结点位置 | |
while (p != null) { | |
int cmp = key.compareTo((K) p.key); | |
if (cmp < 0) { | |
// 记录父结点 | |
stack.push(p); | |
p = p.left; | |
} else if (cmp > 0) { | |
// 记录父结点 | |
stack.push(p); | |
p = p.right; | |
} else { | |
// 找到结点 | |
break; | |
} | |
} | |
// 0. 没找到结点 | |
if (p == null) { | |
return null; | |
} | |
// 1. 有左子树:前驱结点在左结点的最右子树下 | |
if (p.left != null) { | |
p = p.left; | |
while (p.right != null) { | |
p = p.right; | |
} | |
return p; | |
} | |
// 2. 没有左子树:借助栈回溯祖先结点;因为 Node 没有 parent 指针,无法向上遍历父结点 | |
while (!stack.isEmpty()) { | |
// 回溯祖先结点 | |
Node q = stack.pop(); | |
/* q -> 6 | |
* \ | |
* 9 <- p | |
* / | |
* 8 key | |
*/ | |
if (q.right == p) { | |
return q; | |
} else { | |
p = q; | |
} | |
} | |
// 3. 没有前驱结点 | |
return null; | |
} |
# 后继
借助栈记录祖先结点,然后通过栈回溯祖先结点。
public Node successor(K key) { | |
if (key == null) { | |
throw new IllegalArgumentException("key can not be null."); | |
} | |
// 栈用于辅助回溯祖先结点;查找结点位置时,记录经过的祖先结点 | |
// 如果 Node 对象有 parent 指针时,则不需要额外的栈来向上查询祖先结点 | |
Deque<Node> stack = new ArrayDeque<>(); | |
Node p = root; | |
// 找到结点位置 | |
while (p != null) { | |
int cmp = key.compareTo((K) p.key); | |
if (cmp < 0) { | |
// 记录父结点 | |
stack.push(p); | |
p = p.left; | |
} else if (cmp > 0) { | |
// 记录父结点 | |
stack.push(p); | |
p = p.right; | |
} else { | |
// 找到结点 | |
break; | |
} | |
} | |
// 0. 没找到结点 | |
if (p == null) { | |
return null; | |
} | |
// 1. 有右子树:后继结点在右结点的最左子树下 | |
if (p.right != null) { | |
p = p.right; | |
while (p.left != null) { | |
p = p.left; | |
} | |
return p; | |
} | |
// 2. 没有右子树:借助栈回溯祖先结点;因为 Node 没有 parent 指针,无法向上遍历父结点 | |
while (!stack.isEmpty()) { | |
// 回溯祖先结点 | |
Node q = stack.pop(); | |
/* q -> 8 | |
* / | |
* 5 <- p | |
* \ | |
* 6 key | |
*/ | |
if (q.left == p) { | |
return q; | |
} else { | |
p = q; | |
} | |
} | |
// 3. 没有后继结点 | |
return null; | |
} |
# 插入
# 插入情形
- 根结点为 null,未初始化:创建新结点,直接赋值给 root。
- 在左 / 右结点为 null 的位置插入。
# 代码实现
public V put(K key, V value) { | |
if (key == null) { | |
throw new IllegalArgumentException("key can not be null."); | |
} | |
//p 指针用于遍历,寻找插入位置 | |
Node p = root; | |
//parent 指针用于记录插入位置的父结点 | |
Node parent = null; | |
while (p != null) { | |
int cmp = key.compareTo((K) p.key); | |
if (cmp < 0) { | |
parent = p; | |
p = p.left; | |
} else if (cmp > 0) { | |
parent = p; | |
p = p.right; | |
} else { // 更新 | |
V oldValue = (V) p.value; | |
p.value = value; | |
// 返回旧值 | |
return oldValue; | |
} | |
} | |
// 1. 根结点初始化(第一次插入):parent 为空 | |
if (parent == null) { | |
root = new Node(key, value); | |
return null; | |
} | |
// 2. 在左 / 右结点插入: | |
if (key.compareTo((K) parent.key) < 0) { | |
parent.left = new Node(key, value); | |
} else { | |
parent.right = new Node(key, value); | |
} | |
return null; | |
} |
# 删除
# 删除情形
- 删除结点有左 + 右子树:转化为后 2 种情形。
![删除情形①:1 删除情形1-1]()
![删除情形①:2 删除情形1-2]()
- 删除叶子结点:直接删除。
![删除情形②:1 删除情形2-1]()
![删除情形②:2 删除情形2-2]()
- 删除只有一个子树的结点:删除结点的子树挂到父结点下。
![删除情形③:1 删除情形3-1]()
![删除情形③:2 删除情形3-2]()
# 代码实现
public V remove(K key) { | |
if (key == null) { | |
throw new IllegalArgumentException("key can not be null."); | |
} | |
//parent 指针记录删除结点的父结点 | |
Node parent = null; | |
//p 指针查询删除结点位置 | |
Node p = root; | |
while (p != null) { | |
int cmp = key.compareTo((K) p.key); | |
if (cmp < 0) { | |
parent = p; | |
p = p.left; | |
} else if (cmp > 0) { | |
parent = p; | |
p = p.right; | |
} else { | |
break; | |
} | |
} | |
// 0. 没找到结点 | |
if (p == null) { | |
return null; | |
} | |
// 删除结点后返回旧值 | |
V oldValue = (V) p.value; | |
// 1. 有 2 个子树的结点:找到后继结点替换,然后删除后继结点 | |
// 转化为:a. 删除叶子结点;b. 只有一个子树的结点 | |
if (p.left != null && p.right != null) { | |
Node q = p.right; // 在右子树下查找后继结点 | |
parent = p; | |
while (q.left != null) { | |
parent = q; | |
q = q.left; | |
} | |
// 用后继结点替换删除结点 | |
p.key = q.key; | |
p.value = q.value; | |
// 转化为删除后继结点;后继结点:1. 只有一个子树;2. 没有子树(叶子结点) | |
p = q; | |
} | |
// 2. 叶子结点:直接删除 | |
if (p.left == null && p.right == null) { | |
// 2_1. 删除根结点,且只有一个结点 | |
if (parent == null) { | |
root = null; | |
return oldValue; | |
} | |
// 2_2. 叶子结点直接从父结点中移除,得判断是在左还是右结点 | |
if (parent.left == p) { //p 是删除结点 | |
parent.left = null; | |
} else if (parent.right == p) { | |
parent.right = null; | |
} | |
return oldValue; | |
} | |
// 3. 只有 1 个子树的结点:删除结点的子树挂到父结点下 | |
// 3_1. 删除的是根结点,但有一个子结点:子结点直接作为根结点 | |
if (parent == null) { | |
root = p.left == null ? p.right : p.left; | |
// for gc | |
p.left = p.right = null; | |
return oldValue; | |
} | |
// 3_2. 删除的是非根结点:子树直接移到父结点的左 / 右孩子下 | |
if (parent.left == p) { //p 是删除结点 | |
parent.left = p.left != null ? p.left : p.right; | |
} else { | |
parent.right = p.left != null ? p.left : p.right; | |
} | |
// for gc | |
p.left = p.right = null; | |
return oldValue; | |
} |
# 查找
public V get(K key) { | |
if (key == null) { | |
throw new IllegalArgumentException("key can not be null."); | |
} | |
Node node = getNode(key); | |
return node == null ? null : (V) node.value; | |
} | |
public Node getNode(K key) { | |
Node p = root; | |
while (p != null) { | |
int cmp = key.compareTo((K) p.key); | |
if (cmp < 0) { | |
p = p.left; | |
} else if (cmp > 0) { | |
p = p.right; | |
} else { | |
return p; | |
} | |
} | |
return null; | |
} |
# 空间复杂度
平均、最差:
# 时间复杂度
- 搜索、插入、删除,平均:
- 搜索、插入、删除,最差:
# 缺点
数据倾斜,退化为链表,时间复杂度最差:









