# 定义
- 2-3-4 树是多路搜索树;4 阶的 B 树;所有结点有序
- 是一棵自平衡树;每个叶子结点的深度一样、完美平衡。
- 叶子结点除外,内部结点只能是:2 结点、3 结点、4 结点
# 结点类型
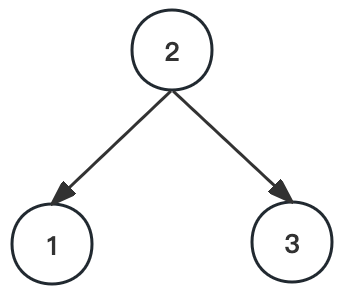
2 结点:1 个元素,2 个子结点
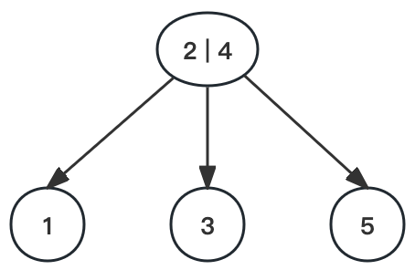
3 结点:2 个元素,3 个子结点
4 结点:3 个元素,4 个子结点
# 插入
插入操作都是在叶子结点进行合并或分裂。
# 插入情形
- 2 - 结点、3 - 结点:直接合并(nodeMerge)
![2、3结点插入:直接合并 2-结点, 3-结点插入]()
![2-结点合并 2-结点合并]()
![3-结点合并 3-结点合并]()
- 4 - 结点:分裂(nodeSplit)
a. 4 - 结点先分裂,插入结点再和左、右子结点合并
b. 分裂后的结点继续向上合并或再分裂![4-结点插入 4-结点插入]()
![分裂结点向上合并或再分裂 分裂向上合并-再分裂]()
# 代码实现
# 类结构
TwoFourTree 对象结构:
@SuppressWarnings({ "unchecked", "rawtypes", "hiding" }) | |
public class TwoFourTree<K extends Comparable<K>, V> { | |
// 2-3-4 树是阶为 4 的 B 树 | |
private static final int ORDER = 4; | |
// 结点最多元素个数 | |
private static final int MAX_SIZE = 3; | |
private Node<K, V> root; | |
private int size = 0; | |
// 创建 key 数组的类型,泛型数组创建需要通过反射机制 | |
private Class<?> keyclass; | |
// 创建 value 数组的类型,泛型数组创建需要通过反射机制 | |
private Class<?> valueclass; | |
public TwoFourTree(Class<?> keyClass, Class<?> valueClass) { | |
this.keyclass = keyClass; | |
this.valueclass = valueClass; | |
} | |
// ...... | |
} |
Node 对象结构:
private class Node<K extends Comparable<K>, V> { | |
// 父结点 | |
Node parent; | |
// 结点的子树 | |
Node[] children = new Node[ORDER]; | |
// 结点的元素(key,value),以及元素个数 | |
K[] keys = (K[]) Array.newInstance(keyclass, MAX_SIZE); | |
V[] values = (V[]) Array.newInstance(valueclass, MAX_SIZE); | |
int size; | |
private Node(Node parent, K key, V value) { | |
this.parent = parent; | |
size = 1; | |
keys[0] = key; | |
values[0] = value; | |
} | |
// for gc, unbind connected obj | |
private void delete() { | |
parent = null; | |
children = null; | |
keys = null; | |
values = null; | |
size = 0; | |
} | |
} |
# 结点合并
private Node nodeMerge(Node node, Node insertNode, int instIdx) { | |
if (instIdx < node.size) { | |
// 数组元素往后移动 1 格,腾出插入空间 | |
moveElement(node, instIdx, node, instIdx + 1, node.size - instIdx); | |
//instIdx 位置的子结点被替换;instIdx+1 位置需要插入新的子结点 | |
moveChild(node, instIdx + 1, node, instIdx + 2, node.size - instIdx); | |
} | |
// 插入元素 | |
moveElement(insertNode, 0, node, instIdx); | |
// 插入 2 个新的子结点 | |
moveChild(insertNode, 0, node, instIdx, 2); | |
// 结点元素个数 + 1 | |
node.size++; | |
// 删除插入结点 | |
insertNode.delete(); | |
return node; | |
} |
# 结点分裂
private Node nodeSplit(Node node, Node insertNode, int instIdx) { | |
// 分裂 4 - 结点:中间元素成为父结点,两边元素成为(左 / 右)子结点 | |
Node split2Parent, split2Left, split2Right; | |
// 分裂出父结点 | |
split2Parent = new Node(node.parent, node.keys[1], node.values[1]); | |
// 分裂出右子结点 | |
split2Right = new Node(split2Parent, node.keys[2], node.values[2]); | |
moveChild(node, 2, split2Right, 0, 2); | |
// 分裂出左子结点 | |
split2Left = node; | |
split2Left.size = 1; | |
split2Left.parent = split2Parent; | |
// 设置分裂父结点的 2 个子结点 | |
split2Parent.children[0] = split2Left; | |
split2Parent.children[1] = split2Right; | |
// 插入结点再与左右子结点合并 | |
if (instIdx < 2) { | |
// instIdx = 0, 1 [0-left or 1-right] | |
nodeMerge(split2Left, insertNode, instIdx); | |
} else { | |
// instIdx = 2, 3 [0-left or 1-right] | |
// instIdx - 2 = 0, 1 | |
nodeMerge(split2Right, insertNode, instIdx - 2); | |
} | |
return split2Parent; | |
} |
# 元素迁移,孩子结点迁移
private void moveElement(Node oldNode, int oldIdx, Node newNode, int newIdx) { | |
System.arraycopy(oldNode.keys, oldIdx, newNode.keys, newIdx, 1); | |
System.arraycopy(oldNode.values, oldIdx, newNode.values, newIdx, 1); | |
} | |
private void moveElement(Node oldNode, int oldIdx, Node newNode, int newIdx, int size) { | |
System.arraycopy(oldNode.keys, oldIdx, newNode.keys, newIdx, size); | |
System.arraycopy(oldNode.values, oldIdx, newNode.values, newIdx, size); | |
} | |
private void moveChild(Node oldParent, int oldChildIdx, Node newParent, int newChildIdx) { | |
// jvm: -ea | |
assert oldChildIdx < ORDER && newChildIdx < ORDER | |
: "child's position out-of-bounds. " + oldChildIdx + ", " + newChildIdx; | |
System.arraycopy(oldParent.children, oldChildIdx, newParent.children, newChildIdx, 1); | |
// update child's parent | |
if (newParent.children[newChildIdx] != null) { | |
newParent.children[newChildIdx].parent = newParent; | |
} | |
} | |
private void moveChild(Node oldParent, int oldChildIdx, Node newParent, int newChildIdx, int size) { | |
// jvm: -ea | |
assert oldChildIdx < ORDER && newChildIdx < ORDER | |
: "child's position out-of-bounds. " + oldChildIdx + ", " + newChildIdx; | |
System.arraycopy(oldParent.children, oldChildIdx, newParent.children, newChildIdx, size); | |
for (int i = 0; i < size; i++) { | |
// update child's parent | |
if (newParent.children[newChildIdx + i] != null) { | |
newParent.children[newChildIdx + i].parent = newParent; | |
} | |
} | |
} |
# 插入
public V put(K key, V value) { | |
if (key == null) { | |
throw new IllegalArgumentException("key can not be null."); | |
} | |
// 查找插入的结点,以及结点的插入位置 | |
Node node = null; | |
int i = 0; | |
Node p = root; | |
while (p != null) { | |
i = 0; | |
node = p; | |
for (i = 0; i < p.size; i++) { | |
int cmp = key.compareTo((K) p.keys[i]); | |
if (cmp < 0) { | |
p = p.children[i]; | |
break; | |
} else if (cmp > 0 && i == p.size - 1) { | |
i++; | |
p = p.children[i]; | |
break; | |
} else if (cmp == 0) { // updated | |
V oldValue = (V) p.values[i]; | |
p.values[i] = value; | |
return oldValue; | |
} | |
} | |
} | |
// 0. 根结点 | |
if (node == null) { | |
root = new Node<K, V>(null, key, value); | |
size++; | |
return null; | |
} | |
Node insertNode = new Node(node.parent, key, value); | |
// 1. 4 - 结点分裂 | |
while (node.size == MAX_SIZE) { | |
// 结点分裂 | |
node = nodeSplit(node, insertNode, i); | |
// 1_1. 根结点分裂,更新 root | |
if (node.parent == null) { | |
root = node; | |
size++; | |
return null; | |
} | |
// 分裂的结点递归向上合并或再分裂 | |
insertNode = node; | |
node = insertNode.parent; | |
// 找出向上合并或再分裂的插入位置 | |
for (i = 0; i < node.size; i++) { | |
int cmp = insertNode.keys[0].compareTo(node.keys[i]); | |
if (cmp < 0) { | |
break; | |
} else if (cmp > 0 && i == node.size - 1) { | |
i++; | |
break; | |
} | |
} | |
// 结点分裂新的结点,需要更新新的结点 | |
node.children[i] = insertNode; | |
} | |
// 2. 2 - 结点、3 - 结点直接合并 | |
nodeMerge(node, insertNode, i); | |
size++; | |
return null; | |
} |
# 删除
- 都是在叶子结点中删除(非叶子结点转化为叶子结点情形)
- 叶子结点元素多,则直接删除;不够则向兄弟借,兄弟不够向父辈借
- 树的高度降低只发生在:根结点为 2 - 结点,且孩子结点均为 2 - 结点时,合并结点导致的
# 删除情形
# 内部结点(非叶子结点)
找前驱或后继元素,转化为删除叶子结点。
# 叶子结点
- 富有 / 只有一个根结点:直接删除元素
![删除情形②: 直接删除 删除情形二]()
- 贫穷但兄弟结点富有:向兄弟借元素
![删除情形③: 向兄弟借 删除情形三]()
- 贫穷且兄弟结点也贫穷,但父结点富有:合并(fuse)
![删除情形④: 合并 删除情形四]()
- 贫穷且兄弟结点、父结点都贫穷,均为 2 - 结点:
a. 合并然后递归向上再合并(直到根结点结束)![删除情形⑤: 向上合并 1-1 删除情形五1_1]()
![删除情形⑤: 向上合并 1-2 删除情形五1_2]()
b. 合并然后向上向借元素![删除情形⑤: 向上借元素 2-1 删除情形五2_1]()
![删除情形⑤: 向上借元素 2-2 删除情形五2_2]()
# 代码实现
# borrow
private void borrow(Node node, int childIdx) { | |
Node parent = node.parent; | |
if (childIdx == 0) { | |
Node rightSiblings = parent.children[childIdx + 1]; | |
moveElement(parent, 0, node, 0); | |
moveChild(rightSiblings, 0, node, 1); | |
node.size = 1; | |
moveElement(rightSiblings, 0, parent, 0); | |
moveElement(rightSiblings, 1, rightSiblings, 0, rightSiblings.size - 1); | |
moveChild(rightSiblings, 1, rightSiblings, 0, rightSiblings.size); | |
rightSiblings.size--; | |
} else { | |
Node leftSiblings = parent.children[childIdx - 1]; | |
moveElement(parent, childIdx - 1, node, 0); | |
moveChild(node, 0, node, 1); | |
moveChild(leftSiblings, leftSiblings.size, node, 0); | |
node.size = 1; | |
moveElement(leftSiblings, leftSiblings.size - 1, parent, childIdx - 1); | |
leftSiblings.size--; | |
} | |
} |
# fuse
private void fuse(Node node, int childIdx) { | |
Node parent = node.parent; | |
if (childIdx == 0) { | |
Node rightSiblings = parent.children[childIdx + 1]; | |
moveElement(parent, 0, node, 0); | |
moveElement(rightSiblings, 0, node, 1); | |
moveChild(rightSiblings, 0, node, 1, rightSiblings.size + 1); | |
node.size = 2; | |
parent.children[childIdx + 1] = null; | |
if (parent.size > 1) { | |
moveElement(parent, 1, parent, 0, parent.size - 1); | |
moveChild(parent, 2, parent, 1, parent.size - 1); | |
} | |
parent.size--; | |
rightSiblings.delete(); | |
} else { | |
Node leftSiblings = parent.children[childIdx - 1]; | |
moveElement(parent, childIdx - 1, leftSiblings, leftSiblings.size); | |
moveChild(node, 0, leftSiblings, leftSiblings.size + 1); | |
leftSiblings.size = 2; | |
parent.children[childIdx] = null; | |
if (childIdx < parent.size) { | |
moveElement(parent, childIdx, parent, childIdx - 1, parent.size - childIdx); | |
moveChild(parent, childIdx + 1, parent, childIdx, parent.size - childIdx); | |
} | |
node.delete(); | |
parent.size--; | |
} | |
} |
# isLeaf
private boolean isLeaf(Node node) { | |
if (node == null || node.size == 0) { | |
return true; | |
} | |
return node.children[0] == null; | |
} |
# getIndexInParent
Node 对象的方法:获取结点 node 在父结点 children 数组的下标。例如:node.getIndexInParent ()。用于删除结点操作中,需要根据 node 的位置进行调整。
private int getIndexInParent() { | |
for (int index = 0; index < parent.size + 1; index++) { | |
if (parent.children[index] == this) { | |
return index; | |
} | |
} | |
// should not reach here. | |
return -1; | |
} |
# underflow
结点元素不富有,需要借元素时,称为下溢出(underflow)。
下溢出的处理包括:删除情形③、④、⑤,即:向兄弟借、与父结点合并、向上合并 / 向上借元素。
private void underflow(Node node) { | |
while (true) { | |
Node parent = node.parent; | |
int childIdx = node.getIndexInParent(); | |
// 兄弟有的借 | |
if (childIdx == 0 && parent.children[childIdx + 1].size > 1) { | |
borrow(node, childIdx); | |
return; | |
} else if (childIdx > 0 && parent.children[childIdx - 1].size > 1) { | |
borrow(node, childIdx); | |
return; | |
} | |
// 兄弟没得借但父亲有的借:合并 | |
if (parent.size > 1) { | |
fuse(node, childIdx); | |
return; | |
} | |
// 兄弟父亲都没得借:合并,然后向上递归 | |
// parent.size == 1 | |
fuse(node, childIdx); | |
// cascade up the tree | |
node = parent; | |
// 根结点降低树高 | |
if (node == root) { | |
root = node.children[0]; | |
root.parent = null; | |
node.delete(); | |
return; | |
} | |
} | |
} |
# remove
getNode 方法参见:查找
public V remove(K key) { | |
if (key == null) { // key invalid | |
throw new IllegalArgumentException("key can not be null."); | |
} | |
Pair<Integer, Node> pair = getNode(key); | |
if (pair == null) { // key not found | |
return null; | |
} | |
Node delElemInNode = pair.value; | |
int delElemIdx = pair.key; | |
V returnValue = (V) delElemInNode.values[delElemIdx]; | |
// 1. 非叶子结点情形 | |
if (!isLeaf(delElemInNode)) { | |
// 获取后驱结点:右兄弟结点的最左子树 | |
Node successor = delElemInNode.children[delElemIdx + 1]; | |
// 沿着最左子树遍历 | |
while (!isLeaf(successor)) { // successor.children[0] != null | |
successor = successor.children[0]; | |
} | |
// swap | |
moveElement(successor, 0, delElemInNode, delElemIdx); | |
// 转化为删除叶子结点情形 | |
delElemInNode = successor; | |
delElemIdx = 0; | |
} | |
//------------ 叶子结点情形 ------------ | |
// 2. 结点富有 [2 - 结点、3 - 结点] 或仅有根结点一个结点:直接移除元素 | |
if (delElemInNode.size > 1 || delElemInNode == root) { | |
// 删除元素 | |
moveElement(delElemInNode, delElemIdx + 1, delElemInNode, delElemIdx, | |
delElemInNode.size - delElemIdx - 1); | |
delElemInNode.size--; | |
// tree empty | |
if (delElemInNode.size == 0) { | |
root = null; | |
delElemInNode.delete(); | |
} | |
size--; | |
return returnValue; | |
} | |
// 3. 结点贫穷:借元素或合并结点 | |
underflow(delElemInNode); | |
size--; | |
return returnValue; | |
} |
# 查找
// 用于 return 返回 2 个值时的包装, | |
// 例如:因为结点包含多个元素、子结点,需要获取元素值、以及下标位置 | |
private static class Pair<K, V> { | |
K key; | |
V value; | |
public Pair(K key, V value) { | |
this.key = key; | |
this.value = value; | |
} | |
} | |
// 根据 key 获取值 | |
public V get(K key) { | |
if (key == null) { | |
throw new IllegalArgumentException("key can not be null."); | |
} | |
// 元素下标,结点 | |
Pair<Integer, Node> pair = getNode(key); | |
return pair == null ? null : (V) pair.value.values[pair.key]; | |
} | |
// 返回结点,以及元素在结点内的下标 | |
private Pair<Integer, Node> getNode(K key) { | |
Node p = root; | |
// 查找 | |
while (p != null) { | |
for (int i = 0; i < p.size; i++) { | |
int cmp = key.compareTo((K) p.keys[i]); | |
if (cmp < 0) { | |
p = p.children[i]; | |
break; | |
} else if (cmp > 0 && i == p.size - 1) { | |
p = p.children[i + 1]; | |
break; | |
} else if (cmp == 0) { | |
// 返回结点,以及元素在结点内的下标 | |
return new Pair<>(i, p); | |
} | |
} | |
} | |
// not found | |
return null; | |
} |
# 空间复杂度
平均、最差:
# 时间复杂度
搜索、插入、删除,平均和最差都是:
# 缺点
- 代码实现复杂,需要考虑:结点的数据结构、操作结点时需要考虑数组的下标位置、元素和结点在数组中移动等。
- 需要使用多种数据结构:结点之间的关系 [链表 + 数组]、结点内的元素 [数组]。











